人生轨迹充满巧合,熟悉陌生人的缘分背后是何魔力?
人生之路并非几何图形那般规整,其中充满了诸多偶然,即便是看似永不相交的平行线,也可能在某一天相遇。
回溯过往,你是否曾在同一片空间,在同一个钟点,与一位素未谋面的过客不期而遇?或许你们频繁地在某个食堂的窗口擦肩而过,又或许你们总是在同一公交站牌下偶然相逢。随着时间的推移,你的生活中逐渐出现了一些看似“熟悉”却陌生的面孔。这究竟是命运的巧妙安排,还是“小世界”现象的神奇效应?
of daily
理解日常偶遇的大都市模式
今日,我要向大家介绍一篇发表于2013年的论文,题目为《把握都市日常邂逅的模式》。该研究通过新加坡城市的智能公交卡收集了居民的出行数据,并从社会网络分析的角度揭示了陌生人在同一辆公交车上偶遇的机制。研究发现,偶然相遇并非仅凭缘分,而是源于我们相似的生活习惯。
城市居民生活规律

首先,从图中可以看出,公交卡的出行数据揭示了在工作日的出行中,人们普遍会经历早晚两个高峰时段。尤为引人注目的是,晚高峰的持续时间往往超过早高峰,这一点与我们的日常生活体验相符。普遍来说,大家的工作时间相对固定,但下班时间则各有不同。

作者随后对早高峰时段,各个时间段内,市内公交车上随机相遇的人数数量以及相遇时长进行了剖析。在所展示的图表中,红色的小点用以表示随机相遇的人数,点的大小直接反映了人数的多少;而点与点之间的连线则表示了相遇发生的时刻,连线的密集程度越高,则意味着相遇的时长更长。显而易见,在七点半至八点这一时间段内,公交车上遇到的人流密集,且这种相遇的时长相对较长。
为什么我们会反复偶遇

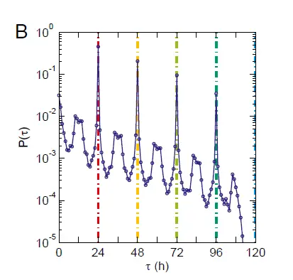
为了探究人们频繁遭遇同一陌生人的时间周期性,图中作者详细阐释了偶遇者之间重逢的时间差。观察可知,每隔24小时再次与同一位陌生人相遇的可能性最大,而48小时、72小时以及96小时,即整天数间隔的时间,重逢的概率同样较高。若在今日某一瞬间邂逅了一位陌路之人,那么在明日的相同时分,亦或在接下来的日子里,他或许会在转角再次与我们相遇。

图中展示了人们在不同时间邂逅他人的可能性。显而易见,在早晨的高峰时段(从6点到9点),人们多次遇到同一人的几率达到峰值。鉴于上文提到晚高峰的持续时间超过了早高峰,导致人们的出行时间更加分散,因此在傍晚时分(大约18点左右),再次与同一个人不期而遇的几率相对较小。
在研究最后阶段,作者通过对比城市生活中的偶然相遇的频次与人数,揭示了其中的小规模社交网络。在图表中,用红色圆点标注的是每次相遇的平均人数,而蓝色部分则代表的是相遇次数的平均值。观察这两条曲线,可以发现它们之间的差异并不显著,几乎是完全重合的。用一种比喻来说,假如在一周的时间里,我们与他人偶然相遇了十次,那么其中大约有八到九次是和同一个人相遇的。
结语
0 条评论